单链表结点定义:
在O(1)时间内删除指定链表结点
题目描述:给定链表的头指针和一个结点指针,在O(1)时间内删除该结点。
分析:一般做法是借助两个指针p1、p2(一前一后),从头开始遍历,直到后一个指针p2和待删除结点相同,然后使p1->next=p2->next,并释放掉p2结点。但此处强调是O(1)时间,因此可直接将待删除结点p的值替换为下一个结点的值,并使p->next=p->next->next,并删除下一个结点。当然前提是待删除结点不能是尾结点,即其下一个结点不能为空。
求链表倒数第k个结点
题目描述:给定一个单链表,找到倒数第k个结点(或移除该结点),例如链表 1->2->3->4->5,k = 2,则倒数第k个结点值为4,移除该结点后,链表为1->2->3->5。LeetCode
分析:借助快慢两个指针fast、slow,首先fast先正向移动到第n个结点,然后两个指针同步移动,直至fast指针为空(走到链表末尾),此时slow指针所指向的即是倒数第k个结点。
求链表的中间节点
题目描述:求链表的中间结点,如果链表长度为奇数,则返回中间结点;若为偶数,则返回中间两个结点中的任意一个。
分析:一般思路是先完整遍历一次链表,求得整个链表的长度,然后长度取半,再从头开始移动指针,即可定位到中间结点。如果只允许遍历一次链表的话,可通过两个指针完成,两个指针均从头部结点开始,一个每次移动一步,另一个每次移动两步,这样快指针走到链表末尾时,慢指针刚好指向中间结点。
判断单链表是否存在环
题目描述:输入一个单链表,判断链表是否存在环。LeetCode
分析:借助两个指针,分别从头结点出发,一个指针每次移动一个步长,另一个指针每次移动两个步长,如果存在环,则两个指针必在环内相遇。
找到单链表成环的入口点
题目描述,如果单链表存在环,则找到环的入口点,若不存在,则返回NULL。LeetCode
分析:借助两个指针,分别从头结点出发,一个指针每次移动一个步长,另一个指针每次移动两个步长,如果存在环,则两个指针必在环内相遇。然后一个指针指向链表头结点,另一个指针仍位于相遇点,两个指针均以单步长移动,再次相遇点即为环的起始点。设第一次相遇点距离链表起点为k,环起始点距离链表起点为s,环起始点到第一次相遇点距离为m,环长度为r,则有k = s + m, 且2k - k = nr = k, 即 s = nr - m。
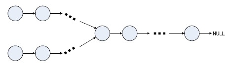
判断两个链表是否相交
题目描述:给定两个单链表(不带环),判断是否相交

分析:
1.使用两重循环判断一个链表的某个结点是否在另一个链表中,时间复杂度为O(n*m)
2.针对第一个链表构造hash表,然后遍历第二个链表,判断第二个链表是否有结点在hash表中,时间复杂度为O(n+m),空间复杂度为O(n)
3.转换为环的问题:把第二个链表连接到第一个链表后面,如果得到的链表有环,则说明两链表相交,判断是否有环可借助上面的方法。这里可使用更简单的方法,如果有环,则第二个链表的表头也在环上,即构成一个循环链表,因此只需要遍历第二个链表,看是否回到起始点即可判断,时间复杂度为线性,空间复杂度为O(1)
4.如果两个没有环的链表相交于一点,那这个结点之后的所有结点都是共有的,包括最后一个结点,因此只需要分别遍历两个链表至最后一个结点,判断是否相等,即可确定两链表是否相交,时间复杂度为线性,空间复杂度为O(1)
两链表相交的第一个公共结点
题目描述:如果两个无环单链表相交,求出相交结点
分析:采用对齐的思想,分别遍历两个链表,得到其长度L1、L2,采用两个指针分别指向两个链表的头部,然后将较长链表的指针移动L2-L1个结点(假设L2>L1),再同时向后移动两指针,直到两指针相等即为相交结点。
如果两链表有环,判断是否相交
分析:如果两个链表有环且相交,则两个链表共有一个环,即环上的任意一个结点都存在与两个链表上,因此只需要判断一个链表的环起始点是否在另外一个链表(的环)上。